Integration (mathematical)

Post Reply
Buk
Posts: 1
Joined: Tue Apr 22, 2025 11:54 am

Integration (mathematical)

Post by Buk »

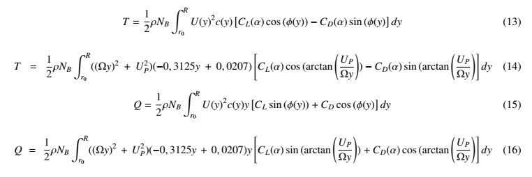
Can planmaker do integrations?

eg.
integration equations example.png
SuperTech
SoftMaker Team
SoftMaker Team
Posts: 3653
Joined: Wed Mar 11, 2020 5:31 pm

Re: Integration (mathematical)

Post by SuperTech »

Yes, PlanMaker commercial edition have this feature.
Post Reply

Return to “FreeOffice PlanMaker 2024 for Windows”